いろいろ 累乗 マイナス 少数 126608-累乗 マイナス 少数
マイナスのあるとき、かっこの外に指数がある時などは注意が必要である。 確認 答表示 かけ算であらわせ。 8 3 8×8×8 (3) 2 (3)×(3) 計算練習 答表示 計算せよ。 3 3 27 (2) 6 64 分数の累乗 分数の累乗は分子どうし、分母どうしそれぞれ指数の数だけJun 02, 21 · たとえば、おそらく累乗は1/n乗(n = 指数)などの方法で計算されます。 もしnの値が奇数などで無理数になった場合、どこで区切って計算するかによって、階乗した結果が変わってくるの指数が0,負の整数の場合(指数を正の整数から整数全体に拡張) a ≠0 a ≠ 0 , n n は正の整数とする. この場合, 0が指数となる場合 : a0 = 1 a 0 = 1 負の整数 n が指数となる場合 : a−n = 1 an a − n = 1 a n と定める. 具体例として, = 1 2 0 = 1 2−2 = 1
0 5乗とは一体どういう意味なのか
累乗 マイナス 少数
累乗 マイナス 少数-Mar 06, 21 · a 0 = a 2 ÷ a ÷ a a^0=a^2\div a\div a a0 = a2 ÷a ÷a と来たら a − 1 = a 2 ÷ a ÷ a ÷ a = 1 a a^ {1}=a^2\div a\div a\div a=\dfrac {1} {a} a−1 = a2 ÷a ÷a ÷a = a1 a − 2 = a 2 ÷ a ÷ a ÷ a ÷ a = 1 a 2 a^ {2}=a^2\div a\div a\div a\div a=\dfrac {1} {a^2} a−2 = a2 ÷a ÷a ÷a ÷a = a21Sep 08, 18 · この記事では「 1行で書ける!pythonでべき乗を計算する方法 」といった内容について、誰でも理解できるように解説します。この記事を読めば、あなたの悩みが解決するだけじゃなく、新たな気付きも発見できることでしょう。お悩みの方はぜひご一読ください。



指数 対数関数の基本
累乗とは? その数を 累乗(るいじょう) といいます。 このように書いてあげます。 掛け合わせる回数を小さく書きます。 指数(しすう) というから覚えておこう! これを「3の4乗(じょう)」と読みます。 3を4回繰り返して掛けてくださいね。 という意味です。 4の4乗(よんじょう) と読みDec 18, 16 · ①累乗の基本計算方法 ②負、少数、分数の累乗 ③累乗問題、応用編 の3つで解説を行います。 ①累乗の基本計算方法 まずは 累乗の基本的な計算方法について 学習をしていきましょう! 累乗の基本として 覚えなければいけない事が こちらです。 この5つの基本はDec 14, 06 · 243×1/となり、 243×だから、 という数値を意味します。 補足 ・E数値は 10、100、1000 という大きい数を表します。 ・E数値は 01、001、0001 という小さい数を表します。 ・数学では『243×10』の次に、小さい数字で上に『19』と表示します。 →
累乗(るいじょう)とは、x×x=x 2 、a×a×a=a 3 のように、同じ数をかけたものです。 乗法の表し方の1つといえます。 また、x 2 の「2」を指数または「べき」といいます。 今回は累乗の意味、読み方、計算と法則、マイナスとの関係について説明します。 乗法の詳細は、下記が参考になります。 乗法とは? 1分でわかる意味、読み方、記号、定義、法則と性質 2ナビゲーション:前へ 上へ 次へ 5 演算、代入 51 変数への代入;これは、\(a^2×a^3=a^{(23)}=a^5\) となる性質、つまり 「累乗と累乗のかけ算」は「指数の足し算」になる 性質を利用します。 この性質をべき乗 \(a^{\frac{1}{2}}\) に当てはめると、 \(a^{\frac{1}{2}}×a^{\frac{1}{2}}=a\) が成立。
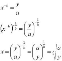
キャレット ^ は一般的な Windows キーボードの右上の方にあります 、詳しくA に 55 を代入する b = 123 !まず,ここで利用する基本事項を確認しておきましょう。 そして,次の手順で考えていけばOKです。 手順1 のように指数に−(マイナス)がついているので, を用いて,分数にします。 手順2 分母の に着目すると,指数が分数なので, を用いて,分数の指数を の形に直します。 ここでは,分母は, と表すことができるので, では,最後に問題で確認し



累乗とは 超わかる 中学数学 正の数と負の数 4 Youtube



底をそろえて計算するときの底の決め方 数学 苦手解決q A 進研ゼミ高校講座
Nov 09, 18 · 整数の性質 小数と累乗 (べき乗)を基礎から押さえる!統計学 補足文書 電卓の使い方 2 第1章 電卓の使い方(基本) 1. カシオ系とシャープ系 (1) いろいろな電卓があるが,この文書では,普通電卓の使い方の基本を説明する。入力された式を因数分解できる電卓です。 解き方がいくつもある因数分解ですが、この電卓を使えば簡単に因数分解がおこなえます。 2つの方程式を入力することで連立方程式として解くことができる電卓です。 計算方法は加減法または代入法で選択でき



べき乗とは何か ゼロ乗 マイナス乗 分数乗 無理数乗ってどういう意味 アタリマエ



10進数 2進数 2進数 10進数 2 2
B に 123 をJul 23, 07 · 回答数: 3 件 電卓で、 例えば 60の0425乗 といった感じの計算を電卓ですることは出来ますか? 因みに√のボタン位しかついていない普通の電卓です。 検索した感じだとどうもPCのアクセサリ機能の電卓か、もしくは 関数計算機能 (? )のついた電卓でしか出来ないような感じだったのですが やはり、普通の電卓では不可能でしょうか?こんにちは。 ExcelでVBAを用いる際に、たとえば test=10^2 と入力したとして、スペースを入れずとも、行を変えれば 「10 ^ 2」のような形になり、testには001という値が入ると思います。 ところが、私の使っているExcelでは · VBAで64bit動作させるためには



累乗でマイナス 分数がでても簡単に解ける センター数学が14点だった私が本番でセンター数学90点を取り現役で志望校合格



対数 分数の指数と小数の指数 大人が学び直す数学
他方で,累乗根の定義によれば ( ) n =a m したがって a = (>0) と定義するとよい.2のマイナス3乗の計算 原理 2の 3乗 とは 1/2 x 1/2 x 1/2 つまり1/2 を3回掛け算するということです;May 23, 10 · べき(肩に乗る数字)が繻小数のときは分数にして、分母を累乗根、分子を「べき」とします。 具体的には小数を分数にんしたものがa/bの場合、xのa/b乗とは、 xのa乗のb乗根です。 例えば16の3/4乗(0.75乗)とは16の3乗の4乗根ですから、 4√(16^3) (4は小さい数字でルートに付属する数字) =2^{(4×3)×(1/4)}=2^3=8です。 したがって、



べき乗とは何か ゼロ乗 マイナス乗 分数乗 無理数乗ってどういう意味 アタリマエ



常用対数とは 基礎から常用対数表を使った計算の方法まで 高校生向け受験応援メディア 受験のミカタ
52 演算 51 変数への代入 変数への値の代入は、代入演算子 = を用いて行います。 assignmentf90 代入を行うサンプル program assignment implicit none integer a real b double precision c character(len=3) d a = 55 !Sep 23, 16 · 数字の読み方は英会話学習の中でおろそかになりがちです。意識的に目を向けておきましょう。少数や分数は日常生活でも目にします。足し算や引き算なんかも英語で読み上げる機会がいつ来ないとも限りません。 少数を英語で表現する 「少数」に対応する英語は decimal 、「小数点」は decimal pointセルに =(1/2)*(1/2)*(1/2) と入力して、答えは 0125 になります (これでも 2の3乗 です) 方法1 セルに =2^3 と入力します;



Excel関数 小数の整数部分と小数部分を取り出す方法と合計の求め方 わえなび ワード エクセル問題集



10の累乗 高校物理をあきらめる前に 高校物理をあきらめる前に
10の累乗を掛けたり割ったりすることで、小数点の位置が右に左に移動します。 この時の左右に動く小数点を 浮動小数点(floting point) といいます。 以下いくつかの例をみてみましょう。 例として「 」という数について考えてみましょうFeb 28, 21 · Introduction Ver all 13 16 19 365 エクセルを使用していると、 のように、数字の後に「E」が付き、その後に「」プラスや「」マイナス付きの数字が表示される時があります。 この表示は指数表示とよばれるもので、 数値の桁が大きい場合 に利用されますDec 12, 15 · エクセルで表計算をしていると 2乗、3乗などの累乗を計算したい時が あります。 そんな時には「^(ハット・キャレット)」 を使えば解決できます。 ですが、 『累乗を計算するには どうすればいいの?』 と頭を抱える人も多い・・・



3



掛け算 割り算 教えてください 10の9乗 10の 12乗 10の 2乗の解き 数学 教えて Goo
となります。 そこで,指数が0や負の整数である2 0 ,2 1 , 2 2 , 2 3 をそれぞれ計算してみましょう。 このように,2 0 , 2 1 の値を考えることができますね。 さらに,表記のしかたを少し変えてみましょう。 と書きかえることができます。 つまり, n を正の整数とすると, と表せます。 そこで, 「マイナス 乗」のときは,「分数の 乗」にする!指数関数 (2) §4 指数関数と対数関数 2指数の拡張 (2) それでは,ここで,指数を 0,負の整数,有理数,実数 へと拡張していきましょう。 ただし,指数法則が各数においても成り立つようにします。 正の整数における指数法則 (m>0,n>0,a≠0,b≠0) 1.am・an = amJun , 17 · この記事では「 C言語入門pow関数でべき乗計算(累乗、二乗、ルート、平方根) 」といった内容について、誰でも理解できるように解説します。この記事を読めば、あなたの悩みが解決するだけじゃなく、新たな気付きも発見できることでしょう。お悩みの方はぜひご一読ください。



累乗根 計算 3乗根 1 4を 3乗根 2 2 3 に計算がわかりません 教 数学 教えて Goo



累乗でマイナス 分数がでても簡単に解ける センター数学が14点だった私が本番でセンター数学90点を取り現役で志望校合格
指数法則 3 そこで 3 と決めれば指数法則が自由に使えるようになります。 分数の指数も以上と同様に,指数法則が成り立つように定義します。 例 となる



10の何乗の計算 これで化学や物理の有効数字は大丈夫 三重の個人契約家庭教師



2進数をはじめとした基数 Ouyou



Excel Bmi指数と肥満度の判定 標準体重比 美容体重 モデル体重の計算 わえなび ワード エクセル問題集



マイナス が付く累乗計算のしかたが分かりません 教えていただけ Yahoo 知恵袋



3 2乗 マイナス2分の3乗 の計算の仕方 数学 苦手解決q A 進研ゼミ高校講座



ゼロ乗 マイナス乗 分数乗 無理数乗 高校数学の美しい物語



中学数学 正負の数 でつまずく原因と解決法 加減 かっこ外し



マイナス累乗の計算を教えて下さい Y Ax Bをx の Yahoo 知恵袋



Power 累乗 Root 累乗根 の読み方などexponents 指数 の英語表現 ゆう アメリカ生活終了 英語勉強



Power 累乗 Root 累乗根 の読み方などexponents 指数 の英語表現 ゆう アメリカ生活終了 英語勉強



0 5乗とは一体どういう意味なのか



マイナス小数点乗の計算方法を教えてください 例えば 0 107乗の場合 ど Yahoo 知恵袋



Excel エクセル 術 2乗の表示方法 計算方法をマスターしよう リクナビnextジャーナル



中1 数学 中1 8 指数 Youtube



小数点の表し方について教えてください 1e 1 0 1でよいのでしょ Yahoo 知恵袋



中学数学 指数の計算で注意すべき3つのポイント Qikeru 学びを楽しくわかりやすく



マイナス が付く累乗計算のしかたが分かりません 教えていただけ Yahoo 知恵袋



累乗でマイナス 分数がでても簡単に解ける センター数学が14点だった私が本番でセンター数学90点を取り現役で志望校合格



2分動画 分数の分数乗の2通りの計算法 数学ii 指数関数と対数関数 Youtube



10の累乗 高校物理をあきらめる前に 高校物理をあきらめる前に



対数グラフと指数法則



累乗でマイナス 分数がでても簡単に解ける センター数学が14点だった私が本番でセンター数学90点を取り現役で志望校合格



Log Log10関数 Excelで10の累乗と常用対数が使えたら数値の桁数が計算できます わえなび ワード エクセル問題集



累乗でマイナス 分数がでても簡単に解ける センター数学が14点だった私が本番でセンター数学90点を取り現役で志望校合格



指数関数の定義 なぜ底が負のときは定義しないのか ダルいから 青春マスマティック



10の累乗 高校物理をあきらめる前に 高校物理をあきらめる前に



対数グラフと指数法則



累乗の計算問題 かっこがついている問題は特に注意だ 中学や高校の数学の計算問題



累乗でマイナス 分数がでても簡単に解ける センター数学が14点だった私が本番でセンター数学90点を取り現役で志望校合格



0の0乗ってなんなの 0乗だから1になる 数学の面白いこと 役に立つことをまとめたサイト



英語で正しく読み上げる算数 数学の 値 と 計算式 Weblio英会話コラム 英語での言い方 英語表現



マイナス乗と分数乗が同時に攻めてきた Helpme Yahoo 知恵袋



Excel セルの表示形式 ユーザー定義 書式記号完全総まとめ わえなび ワード エクセル問題集



累乗 べき乗の計算機 指数が分数 小数 マイナスでもok やまでら くみこ のレシピ



Excelで10のべき乗表示 指数表示 にする方法 Officeヘルプサポート



平方根 とは 根号の意味や性質 値の求め方について 数学fun



3 2乗 マイナス2分の3乗 の計算の仕方 数学 苦手解決q A 進研ゼミ高校講座



Log Log10関数 Excelで10の累乗と常用対数が使えたら数値の桁数が計算できます わえなび ワード エクセル問題集



べき乗とは何か ゼロ乗 マイナス乗 分数乗 無理数乗ってどういう意味 アタリマエ



Excel エクセル 術 2乗の表示方法 計算方法をマスターしよう リクナビnextジャーナル



指数が少数の累乗の計算はどうすればいいですか 分数の形 Yahoo 知恵袋



べき乗とは何か ゼロ乗 マイナス乗 分数乗 無理数乗ってどういう意味 アタリマエ



べき乗とは何か ゼロ乗 マイナス乗 分数乗 無理数乗ってどういう意味 アタリマエ



指数方程式



10の累乗 高校物理をあきらめる前に 高校物理をあきらめる前に



3



化学 有効数字 例として化学基礎の問題で 値が0 010となった時に1 Yahoo 知恵袋



Excelで10のべき乗表示 指数表示 にする方法 Officeヘルプサポート



2の二乗と 2 の二乗の違いが分かりません教えてください Yahoo 知恵袋



10の何乗の計算 これで化学や物理の有効数字は大丈夫 三重の個人契約家庭教師



2進数と10進数の変換 2の累乗数も覚えておけば楽になる 人生いろいろ知識もいろいろ



底が小数の累乗計算ってどうやってやればいいんでしょうか 例えば 1 Yahoo 知恵袋



小数の大小比較 わからないときは10倍や100倍しよう 中学や高校の数学の計算問題



マイナス小数点乗の計算方法を教えてください 例えば 0 107乗の場合 ど Yahoo 知恵袋



この計算 累乗の中にマイナス入れていいんですか 2 の右側の計算です Yahoo 知恵袋



高校数学 累乗と累乗根の大小比較 受験の月



指数関数



Log Log10関数 Excelで10の累乗と常用対数が使えたら数値の桁数が計算できます わえなび ワード エクセル問題集



中学数学 正の数 負の数



Excel エクセルにて小数点以下の0を表示しない方法と表示させる方法 数式で整数のみを表示させる等 More E Life



中1 数学 正負の数12 累乗 指数 6分 Youtube



10の累乗 高校物理をあきらめる前に 高校物理をあきらめる前に



0の0乗ってなんなの 0乗だから1になる 数学の面白いこと 役に立つことをまとめたサイト



Excel エクセル 術 2乗の表示方法 計算方法をマスターしよう リクナビnextジャーナル



1



指数 対数関数の基本



Pythonで数字の文字列strを数値int Floatに変換 Note Nkmk Me



底が小数の累乗計算ってどうやってやればいいんでしょうか 例えば 1 Yahoo 知恵袋



累乗でマイナス 分数がでても簡単に解ける センター数学が14点だった私が本番でセンター数学90点を取り現役で志望校合格



Excel エクセル 術 2乗の表示方法 計算方法をマスターしよう リクナビnextジャーナル



対数 分数の指数と小数の指数 大人が学び直す数学



累乗 べき乗の計算機 指数が分数 小数 マイナスでもok やまでら くみこ のレシピ



Excelで10のべき乗表示 指数表示 にする方法 Officeヘルプサポート



累乗 べき乗の計算機 指数が分数 小数 マイナスでもok やまでら くみこ のレシピ



累乗 べき乗の計算機 指数が分数 小数 マイナスでもok やまでら くみこ のレシピ



Power 累乗 Root 累乗根 の読み方などexponents 指数 の英語表現 ゆう アメリカ生活終了 英語勉強



浮動小数点とは Javaa2z



指数部とは Javaa2z



など英語の数式の読み方と 計算 に関する基本英語表現まとめ Dmm英会話ブログ



中学数学 指数の計算で注意すべき3つのポイント Qikeru 学びを楽しくわかりやすく



指数部とは Javaa2z



10の何乗の計算 これで化学や物理の有効数字は大丈夫 三重の個人契約家庭教師



3



べき乗とは何か ゼロ乗 マイナス乗 分数乗 無理数乗ってどういう意味 アタリマエ



10の何乗の計算 これで化学や物理の有効数字は大丈夫 三重の個人契約家庭教師



0 5乗とは一体どういう意味なのか



10の何乗の計算 これで化学や物理の有効数字は大丈夫 三重の個人契約家庭教師



数学 指数関数 指数の計算 発展 オンライン無料塾 ターンナップ



対数 分数の指数と小数の指数 大人が学び直す数学



累乗根 計算 3乗根 1 4を 3乗根 2 2 3 に計算がわかりません 教 数学 教えて Goo

コメント
コメントを投稿